水性色浆
为客户打造量身定做的解决方案,并为客户创造出更多具有革新意义的产品
您的位置: 首页 >> 产品 >> 水性色浆
水性颜料色浆大红112号:永固红FGR
0000-00-00 00:00:00 水性色浆

水性颜料色浆大红112号:永固红FGR                                                

CI颜料红112:永固红FGR,是水性色浆的主色,色浆应用,主要用于水性防腐漆,水性印花浆。部分产品可以用于水溶性色浆生产制作。

别名:颜料永固红FGR


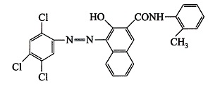
类别:色酚AS类有机颜料 登记号:CAS[6535-46-2];CI 12370 分子式:C24H16Cl3N3O2 分子量:484.76 结构式:


颜料性能标准(色浆性能近似):

外观
艳红色液体
色光
与标准品近似
着色力/%
为标准品的100±5
水分含量/%
≤1.5
水溶物含量/%
≤2.0
细度(过80目筛余量)/%
≤5.0
耐晒性/级
7~8
耐热性/℃
180
耐酸性/级
5
耐碱性/级
5
水渗透性/级
5
乙醇渗透性/级
5
石蜡渗透性/级
5
油渗透性/级
3~4

颜料性质:本品为艳红色粉末。遇浓硫酸呈红紫色,稀释呈蓝光桃红色。具有良好的耐晒性和耐热性。 颜料生产制法: 1.生产原理 2,4,5-三氯苯胺重氮化后与色酚AS-D偶合制得。



颜料技术配方

原料
用量比例
2,4,5-三氯苯胺(工业品)
276
亚硝酸钠(98%)
98
色酚AS-D(工业品)
420

3.颜料生产工艺 (1)色酚AS-D的制备 在脱水锅中加入氯苯4300L,100%2,3-酸630kg、碳酸钠280kg,加热至45℃左右,待二氧化碳逸出后加热升温脱水,温度升高至134~135℃,待蒸出的氯苯透明无水时停止加热,体积控制在2900L。将脱水物压至缩合锅中,冷却至90℃左右,加入430kg 98%邻甲苯胺,冷却至65~70℃,在2h内均匀加入三氯化磷氯苯混合液(230kg三氯化磷用无水氯苯配成55%~60%混合液),加完时温度为118~120℃,保温2h。在蒸馏锅中加1000L水和30%碱液330L,将缩合物压入。压完后搅拌15min。取样测定pH值在8~8.5,如pH值低于8则加碱调整。用直接蒸汽蒸馏至蒸出物澄清无氯苯为止。加90℃以上的热水至5000L,过滤。滤饼用90℃以上热水洗涤至滤液澄清,抽干,干燥,得885kg色酚AS-D。 (2)2,4,5-三氯苯胺的制备 加95%硫酸1500kg及1,2,4-三氯苯3000kg至硝化锅中,搅拌混合。于40~50℃加入混酸(HNO3 35%,H2SO4 65%)3000kg,于48~50℃搅拌2h,然后加水150kg稀释成75%硫酸,分离出上层油状物,水洗,得粗品3650kg。加水125L、铁粉125kg、苯150kg、纯三氯硝基苯150kg和甲酸1kg至还原锅,注意反应自始至终加热保证沸腾。如果锅内物料振荡追加铁粉125kg,如无振荡继续通蒸汽煮沸3h后,虹吸出苯并蒸馏出苯,然后真空蒸馏出2,4,5-三氯苯胺。 (3)重氮化 将500L冰醋酸加入重氮化反应锅中,加热至60℃,在其中溶解276kg三氯苯胺。将此溶液转至3500L水中,加入1120L 5mol/L盐酸,加冰冷却至0℃,用98kg 98%亚硝酸钠配制成的40%溶液进行重氮化,反应温度为0℃。2h后加入107kg轻质碳酸钙悬浮在水中,稀释至体积为8500L,加15kg活性炭,过滤,得重氮盐液。 (4)偶合 将420kg色酚AS-D溶于32.2L 33%氢氧化钠溶液及3000L水中。温度为90℃下,加10kg硅藻土,过滤,稀释至体积为14000L。用冰冷却至3℃,快速加入235L冰醋酸,酸化析出沉淀,然后加热至38℃,得偶合组分。从偶合组分液面下在3h内加入重氮液偶合,温度为38℃。过滤,水洗,在50~55℃下干燥,得700kg永固红FGR。

用途:主要用于油墨、涂料印花和文教用具的着色。

蒂森色浆应用,主要用于水性防腐漆,水性印花浆。部分产品可以用于水溶性色浆生产制作。

耐迁移性能较为优良,浓度高。易于分散,后期的储存稳定性好,复溶性能高。

色浆成品如下

112红色浆