CI颜料红269,主体颜色与科莱恩FBB02,146红接近,更加透明,底色更紫一些
可调出对应攀通色号:198C,206C,207C,204C,220C,221C等颜色
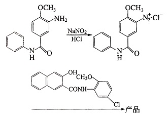
类别:色酚AS类有机颜料
登记号:CAS[67990-05-0];CI 12466
结构式:
分子式:C32H25N4O5Cl
分子量:581.03
蒂森269号红颜料色浆色卡

269红与146红刮样卡对比

性质:
耐热性180℃,耐光性7级,耐水性5级,耐油性5级,耐酸性5级,耐碱性4级,吸油量≤45%。
制法:
在室温,将242g 3-氨基-4-甲氧基苯甲酰苯胺和2532g水混合,搅拌下加入盐酸使固体完全溶解。加入1.5kg冰水混合液,使温度降到10℃。加入138mL 40%亚硝酸钠溶液。加入助滤剂进行过滤,用氨磺酸破坏过量的亚硝酸,得重氮液。
在80℃,将328g N-(5-氯-2-甲氧基苯基)-2-羟基-3-萘甲酰胺加到2720g水中,加入碱使之溶解。加入2720g水/冰混合液,使温度降到室温,过滤。加入重氮液,控制pH值为4.8~5.0,温度20~35℃。偶合完全后,过滤,洗涤,干燥,得产品。
用于涂料、墨水、织物、塑料等着色。