涂料色浆颜料橙16(联苯胺橙|橙红色浆)的性能简介。
本品为鲜艳红光橙色液体色浆。属乙酰乙酰芳胺-联苯胺类双偶氮颜料。具有户外耐光性5-6级的特性,鲜艳和耐光是特性。性价比突出。采用通用型载体树脂可与市面主流厂商的油性树脂相溶,无毒无重金属,符合中国环保要求和欧盟环保要求。建议广泛用于工业漆,塑胶漆,烤漆,机壳漆,修补漆。
类别:联苯胺类有机颜料
登记号:CAS[6505-28-8];CI 21160
分子式:C34H32N6O6 分子量:620.65
蒂森16号橙色浆色卡: 蒂森16号橙色浆样品:







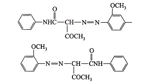
性质: 本品为鲜艳红光橙色液体色浆。属乙酰乙酰芳胺-联苯胺类双偶氮颜料。具有户外耐光性5-6级的特性,鲜艳和耐光是特性。性价比突出。 颜料制法: 1.颜料生产原理 邻联二茴香胺与亚硝酸发生双重氮化后,与两分子乙酰乙酸苯胺偶合,经过滤、干燥、粉碎得联苯胺橙。
技术配方
| 原料 | 质量比 |
| 邻联二茴香胺盐酸盐(100%计) | 122 |
| 亚硝酸钠(98%) | 70 |
| 盐酸(30%) | 243 |
| 活性炭 | 10 |
| 土耳其红油 | 5 |
| 乙酰乙酰苯胺(100%计) | 176 |
| 乙酸钠 | 286 |
生产工艺 (1)重氮化 在重氮化反应锅中,将122kg邻联二茴香胺盐酸盐加入1000L水中搅拌2h,再加入30%盐酸243kg,搅拌0.5h后加冰和水,调整体积为3000L,温度为0℃。将70kg亚硝酸钠用200L水溶解后,较快地加入进行重氮化反应,搅拌40~50min,反应完毕,亚硝酸仍稍微过量。加活性炭10kg,搅拌10min后加土耳其红油5kg,过滤,得重氮盐溶液。 (2)偶合 在1000L水中加入176kg乙酰乙酰苯胺搅拌1h,通过筛网放入盛水2000L的偶合锅内,再将乙酸钠(285.6kg溶于600L水)加入偶合锅内,得偶合组分。在偶合锅中,将重氮盐在1~1.5h内从偶合组分液面下加入进行偶合,到达反应终点时乙酰乙酰苯胺微过量,搅拌1h后用蒸汽加热到95℃并保持0.5h,过滤,水洗,在60℃干燥,得产品联苯胺橙300kg。
质量标准:
| 外观 | 深橙色粉末 |
| 色光 | 与标准品近似 |
| 着色力/% | 为标准品的100±5 |
| 水分含量/% | ≤2.5 |
用途:
用于涂料、油墨,特别适合高彩度使用环境。鲜艳的红光橙色,曾经广泛用于摩拜共享单车使用。具有户外一年左右的耐光性,性价比非常突出。